
20世紀初頭にあった発想の転換
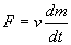
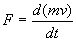
ニュートンの第二法則では、物体に作用した力(F )と、その物体の運動量(mv)との間には、
--------@ 
ここで、m = constant とすれば、(19世紀までの物理学は、こう考えていた)
となるが、
mも時間の関数であると仮定すれば、@は、
と書ける.--A
アインシュタインは、光の速度は互いに運動するすべての観測者から見て不変であり、且つ、光速より早く移動することはできないという仮定を設けた.(光速一定の仮定)
この仮定の下で、光速の近傍で運動する物体を考えると、光速の近くでは速度はほとんど変わらないから、
![]()
したがってA式は
となる---B ![]()
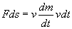
力Fが作用している間に行った距離をdsとすると
![]()
これをB式の両辺にかけると
![]()
![]()
この式で、Fdsは与えられたエネルギーE、dmは質量の増分だから(これをmと置くと)、物体が光速で移動するとき
、その物体に加えられたエネルギーと質量の増分との間には、
![]()
が成り立つ.
ニュートン力学に、光速一定の仮定をプラスすると、質量とエネルギーの換算式が、ひょこっと出てくる.アインシュタインも、当初は、びっくりしたことだろう.体中が震えるほどの感覚を味わったに違いない.「物質とは凍結したエネルギーである」、「物質とエネルギーは相互に変換し得る!」.20世紀の幕開けである.
![]()