移動速度論
問1 以下の物性定数の次元を示せ。
フラックスとは単位時間当たり、単位面積を通過する量を言うので、熱の場合は Jm-2s-1
拡散係数はフラックスと勾配を結びつける傾きであり、物質移動の場合は、
![]()
で定義されるので m2s-1
動粘度の別名は運動量拡散係数なので、単位は拡散係数と同じ。 m2s-1
フラックスは(物質移動係数)×(濃度差)で表され、濃度差の次元は[mol/m3]なので、 ms-1
摩擦係数は抗力と物体にかかる力の比例関係を表す係数であり、抗力と物体にかかる力の次元は同じなので、無次元
問2 以下の用語について、各々2〜3行で説明せよ。
どんなに乱流を激しくしても物質の表面は周囲の流体の流れと異なって層流に支配されている部分があり、これを境界層
という。この境界層の内側は層流による拡散で支配されており、乱流拡散に比べて速度が遅いので濃度勾配が境界層の内側
に集中する。この境界層をモデル化し、濃度勾配が一定であると近似したものが境膜である。
2) シュミット数
流れと物質移動の差(比)を表す数で、動粘度(ν=μ/ρ)を拡散係数Dで割ったものとして定義される。これは、流れ
を支配する動粘度と物質移動を支配する拡散係数のどちらがより系の中で大きな影響を与えているかを表すものである。
3) フィックの第二法則
これはフィックの第一法則から導かれる帰結であり、非定常項が無い時の濃度の時間微分と位置微分との関係を示す。こ
こで言う非定常項とは変化によって消失する項である。−∂C/∂t=∂J/∂zにJ=−D∂C/∂zを代入すれば、
![]()
となる。
問3 室温下で、直径dが0.1mm(密度ρ:2.7×103kg・m-3)のガラス球が水中を落下している。定常に達したときの終末沈降速度を求めよ。但し、水の密度ρWは1.0×103kg・m-3、粘度μは1.0×10-3Pa・sとする。
ヒント:粒子が流体から受ける抵抗力FDは、摩擦係数CDを用いて
FD=CD・(πd2/4)・(ρWu2/2)
ここで、CD=24/Re (10-4<Re<2)
=10/Re1/2 (2<Re<500)
=0.44 (500<Re<105)
ガラス球の質量をMとすると、M=ρ×4π(r×10-3)3/3 (但し、r=d/2)であり、ガラス球が押しのける水の質量をmとすると、m=ρW×4π(r×10-3)3/3ヒントからFDと鉛直下向きの重力、浮力が釣り合っているので、重力加速度をg=9.8[m/s2]とし、鉛直下向きを正として、終端速度をu0とすれば、
0=Mg−FD−mg
………(*)
ここで、レイノルズ数が
![]()
で与えられるので、3つに場合分けする。
@) 10-4<Re<2 つまり、10-6<u0<0.02 のとき
CD=24/Reなので、これを(*)に代入して
![]()
これは当てはまる。
A) 2<Re<500 つまり、0.02<u0<5 のとき
CD=10/Re1/2なので、これを(*)に代入して、

となり、これは不適
B) 500<Re<105 つまり、5<u0<103 のとき
CD=0.44なので、これを(*)に代入して、
![]()
となり、これも不適
以上より、u0=9.26×10-3[m/s]となる。
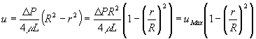
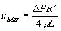
問4 長さがLで幅が十分大きな平板が距離2Rを隔てておかれている。この空間内を粘度μの流体が流れている。定常状態を仮定して、以下の設問に答えよ。
注)この問題は円管内の層流と同じように取り扱ってください。詳細は速度論の79ページ
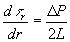
収支式は(平板の両側に働く外力)=(rとr+凾窒フ間の剪断応力)なので、平板の幅をWとして、
凾窒v(Pout−Pin)=2(WLτr−WLτr+Δr)
![]()
凾秩ィ0として、 ![]()
と表され、2)の微分方程式を解くと、
なので、これにNewtonの法則を代入すると
⇔
(C1、C2は積分定数)
これに境界条件を代入して、
、
なので、
![]()
幅は均一なので面積でなく薄い板状の範囲を考える。
uav=∫2udr/2Rから、
![]()
![]()

![]()

であるので、
となり、![]()
問5 内径dが5.0cmで、長さLが50mの円管の内壁は50℃に保たれている。この中を平均温度40℃の水が2.0m/sで流れているときの円管から水への伝熱速度(単位時間当たりの総伝熱量)を求めよ。但し、水の密度ρ=1.0×103kg・m-3、
粘度μ=1.0×10-3Pa・s、熱伝導度(熱伝導率)κ=0.63Jm-1s-1K-1、比熱Cp=4.2×103Jkg-1K-1は温度に依らず一定であると仮定する。なお、層流のとき Nu=1.4[RePr{d/(2L)}]1/3
乱流のとき Nu=0.35Re7/12[Pr{d/(2L)}]1/5
但し、 Nu=hd/κ
Pr=μCp/κ とする。
レイノルズ数は
であたえられるので、これを計算してRe=1.0×108>4000となり、円管内を流れるのは乱流と判断される。これにより、Nu=hd/κとPr=μCp/κをNu=0.35Re7/12 [Pr{d/(2L)}]1/5に代入すればhが求まり、
[Jm-2s-1K-1]
となる。求めるものは単位時間当たりの総伝熱量なので、フラックスに面積を掛ければよい。内壁の表面積をSとすれば、
S=πdLとなり、フラックス、伝熱速度をそれぞれq、Qとすれば、
q=h凾s
Q=q×S
=h凾sπdL
=1163.3×10×3.14×5.0×10-2×50
=9.13×104Js-1