高分子化学2(平成十年度)

(教科書1冊および電卓持込可。ノートプリント不可)

1.分子量1.0×105のポリスチレン分子がθ溶媒中でランダムコイル状態であるときの根平均二乗末端間距離<R21/2、慣性半径Rgを計算せよ。また、このポリスチレンを自由回転鎖と考えたときの<R21/2、およびこのポリスチレン分子を主鎖の結合の周りの回転角がすべてφ=0(トランス)になるように引き伸ばしたときの両末端間きょりL(contour length)を計算せよ。ただし、C-C結合の距離は0.154nm、sin54.8°=0.816、<R2>=Na2(Nは結合の数)としたときの有効結合長aの値は、θ状態のポリスチレンではa=0.512nmである。

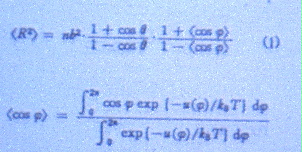
2.高分子鎖のモデルとして、(n+1)個の原始を長さbの結合で結んだ線状鎖を考える。(結合角θは一定、結合の周りの回転角ψは束縛回転ポテンシャルu(ψ)のもとで熱的平衡分布をとるものとする。)下図のように、束縛回転ポテンシャルはトランス状態t(ψ=0°)およびゴーシュ状態g'とg''(ψ=120°と240°)に深い谷を持つものとする。状態tに対する状態g'とg''のエネルギー差をugとし、σ=exp(-ug/kBt)とおくと、これらの三状態の相対重率は1:σ:σとなる。結合の回転状態をこの3状態だけで代表させた場合について、下の(1)式から、特性比C=<R2>/nb2とその温度変化dlnC/dTを、σとTの関数として表す式を導け。ただし、cosθ=1/3とし、<R2>は平均二乗末端間距離である。

3.非晶性高分子のガラス転移温度(Tg)とは何か?その上下で高分子の物性や分子運動はどのように変化するか?マクロ的およびミクロ的に説明せよ。

4.高分子化学2の講義について、興味を持ったところ、つまらなかったところなどの感想および今後の厚誼の改善のための提案があれば記せ。(この項は採点には無関係とする)


ほーむへ